大偶数表为一个素数及一个不超过二个素数的乘积之和
陈景润
中国科学院数学研究所
摘 要
本文的目的在于用筛法证明了:每一充分大的偶数是一个素数及一个不超过两个素数乘积之和 关于孪生素数问题亦得到类似的结果
一、引言
把命题“每一个充分大的偶数都能表示为一个素数及一个不超过a个素数的乘积之和”简记为(1,a)。
不少数学工作者改进了筛法及素数分布的某些结果, 并用以改善(1,a) 。现在我们将(1,a) 发展历史简述如下:
在文献[10]中我们给出了(1,2)的证明提要。
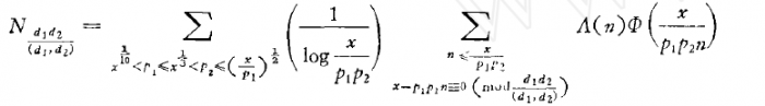
命
为适合下列条件的素数p的个数:
或
其中
都是素数
用x表一充分大的偶数。命
对于任意给定的偶数h及充分大的x,用
表示满足下面条件的素数p的个数:
其中
都是素数
本文目的在于证明并改进作者在文献[10]所提及的全部结果, 现在详述如下。
定理1、
定理2、对于任意偶数h,都存在无限多个素数p,使得p+h的素因子的个数不超过2个及
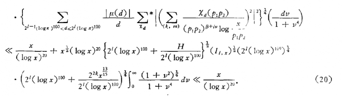
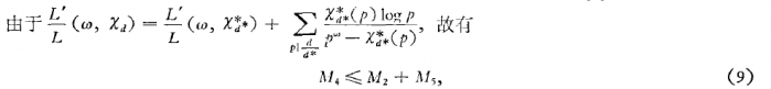
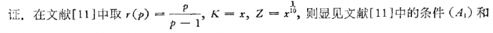
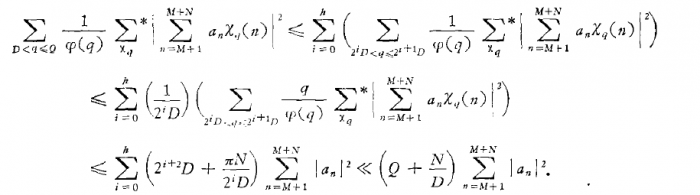
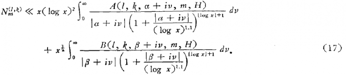
在证明定理1时, 主要用到了木文中的引理8和引理9,在证明引理8时, 我们使用较为简单的数字计算方法,而证明引理9时, 我们使用了Bombieri定理[9]及Richert[11]中的一个结果。
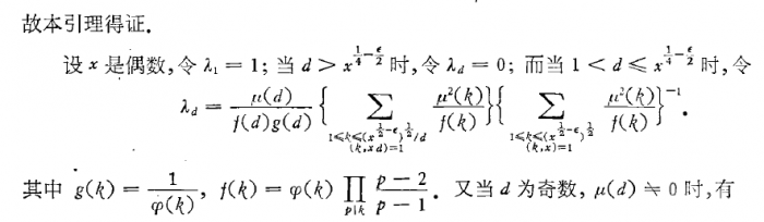
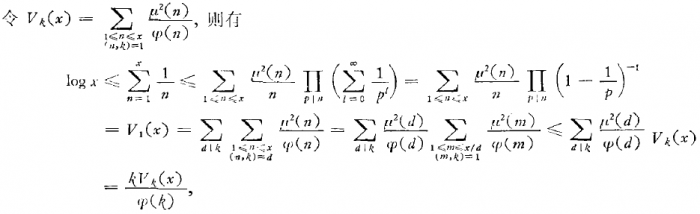
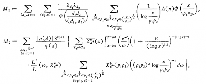
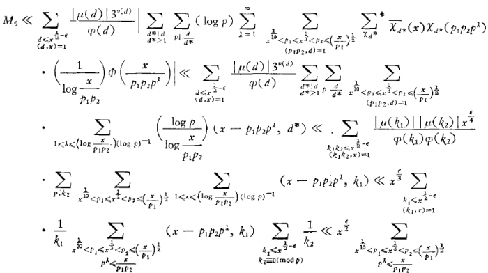
二、几个引理
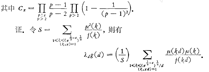
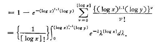
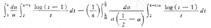
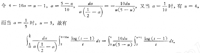
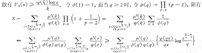
证。我们先来证明
故有
其中
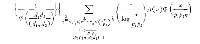
令
其中
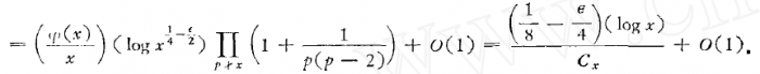
其中
由(7)式, (8)式, (9)式及(10)式, 本引理得证。
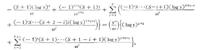
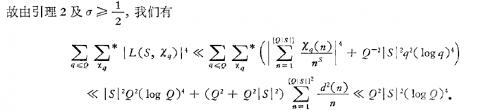
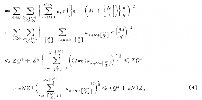
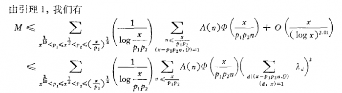
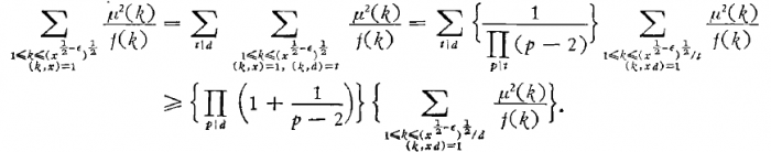
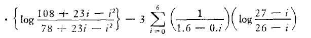
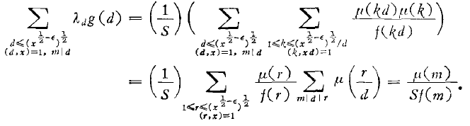
引理6,我们有
证。令
则有

故有
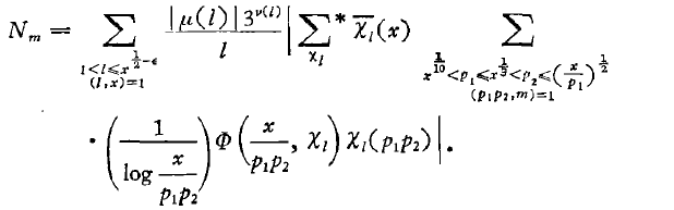
其中
其中
及
令
则有
由引理1,本引理得证。
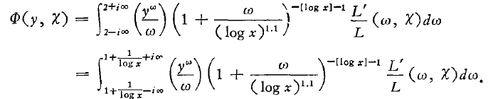
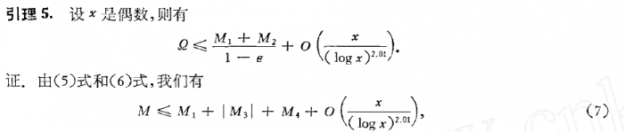
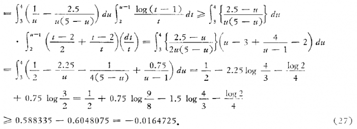
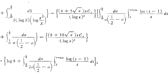
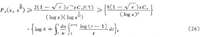
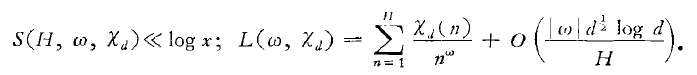
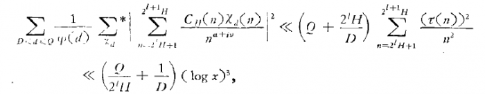
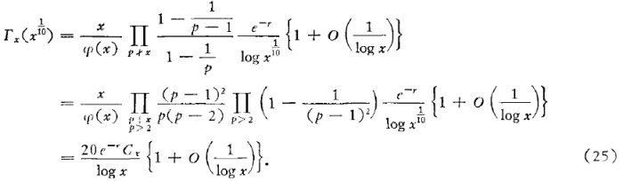
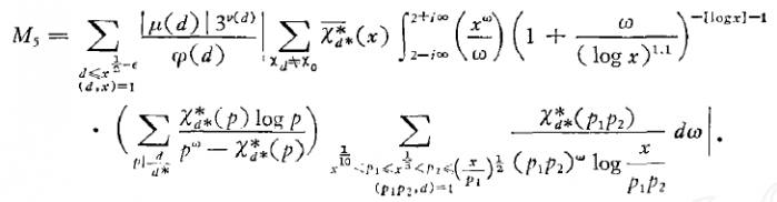
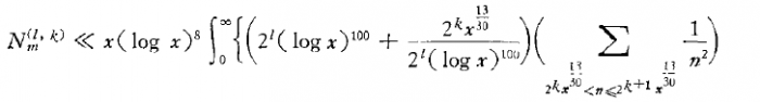
引理8,设x是大偶数, 则有
证.当x很大时,由引理5到引理7, 我们有
又有
及
由(23)和(24)式,引理8得证.
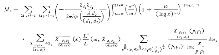
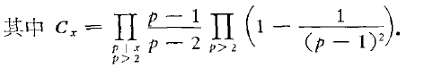
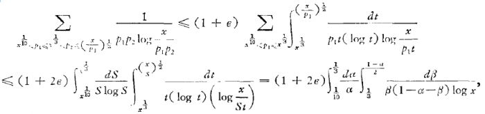
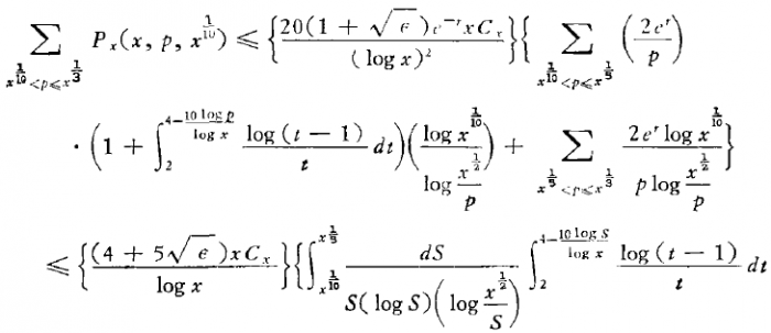
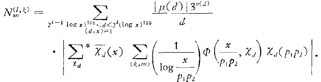
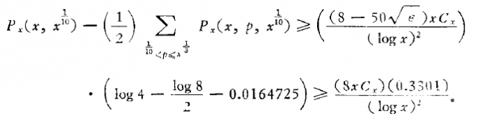
引理9.设x是大偶数, 则有
又有
由(26)和(27)式, 我们有
故引理9得证.
三、结果
显见,我们有

由(28)式、引理8和引理9, 即得到定理1
的证明
完全类似的方法可得到定理2的证明.
致谢:作者对阂嗣鹤同志和王元同志给予的帮助, 表示衷心的感谢.
参考文献